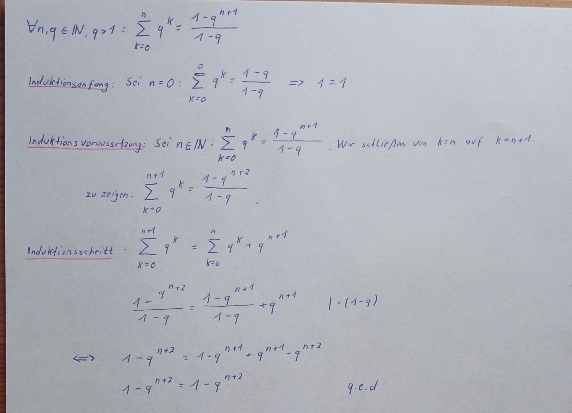
Die vollständige Induktion ist ein mathematisches Beweisverfahren über die Menge der natürlichen Zahlen, mit der eine Aussage A(n) bewiesen wird. So eine Aussage können Reihen, Folgen, Gleichungen oder Ungleichungen sein.
Generated with ComfyUI and SDXL
Man beginnt mit dem Induktionsanfang (IA), indem man die Korrektheit der Aussage mit der kleinste natürliche Zahl zeigt. Ist dies der Fall folgt die Induktionsvoraussetzung (IV). Manchmal wird die Induktionsvoraussetzung oder Annahme auch inmitten des Induktionsschritt (IS) formuliert.
In der Induktionsvoraussetzung formuliert man die Aussage so um, dass die Aussage für jede feste aber beliebige natürliche Zahl gilt. In der Regel schließt man von n auf n+1. Im Induktionsschritt folgt der Beweis. Dafür wird die Induktionsvoraussetzung eingesetzt und das (n+1)-te Glied aus der Summe getrennt und dazu addiert. Nun löst man die Gleichung auf und zeigt dass beide Seiten gleich sind.
Also, dann viel Spaß mit der vollständigen Induktion. Sei es aus interesse oder weil man es im Mathestudium benötigt. Zeigt euren Prof dass ihr der Meister der vollständigen Induktion seid xD.
Übrigens war Xiaozan beim Friseur und hat nun lange Schwarze Haare. Mal sehen wie sie das nächsten Mal aussieht.


These photos were taken with my smartphone (my own images)