Schwierige Grenzwerte ermitteln

@ozelot47 · 2025-09-21 10:57 · Deutsch D-A-CH

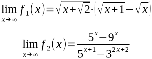
Nicht immer kann man die Grenzwerte sofort bestimmen. Es kommt oft vor, dass die Terme umgeformt und zerlegt werden müssen bevor der Grenzwert ermittelt wird.

Würde man im ersten Beispiel sofort den Grenzwert für x gegen unendlich bestimmen, so lautet das erste Produkt unendlich und das zweite Produkt 0. Unendlich mal 0 wäre dann 0. Also ist der Grenzwert 0 was aber falsch ist.

Es gibt kein allgemeines Verfahren zur Bestimmung von Grenzwerten. Je nach Situation versucht man durch Kürzen, Faktorisieren, Erweitern und anderen Gesetzen den Term in eine Form zu bekommen, sodass man mit Sicherheit den Grenzwert bilden kann. In dem Wurzelbeispiel wird der Term erweitert, sodass man im Zähler die dritte Binomische Formel erhält. Dadurch fällt die Klammer im Zähler weg und wir haben nur noch die Wurzel alleine stehen. Danach wird die Wurzel aus x ausgeklammert, sodass man diese Wurzel kürzen kann. Das Ziel ist erreicht. Wir haben die Variable x jeweils im Nenner stehen und haben somit eine Nullfolge. Nun kann der Grenzwert bestimmt werden.

Bei dem Exponentialbeispiel ist es genauso. Wir versuchen durch ausklammern, kürzen und das Verwenden von Exponentialgesetzen den Term immer weiter zu vereinfachen. Zum Schluss wird der Grenzwert gebildet. Da 5/9 kleiner 1 ist und x gegen unendlich geht, so wird 5/9^x zu 0. Übrig bleibt somit 1/9 was der Grenzwert ist.

f8aa7726518056d932791df97d13787f5f9137af.png

f3c466f931092f4cd216bddf7651bf4ae0e7468a.jpg

These photos were taken with my smartphone

#deutsch #dach #math #mathematics #stemgeeks #science #stem #hive-engine
Payout: 0.000 HBD
Votes: 56
More interactions (upvote, reblog, reply) coming soon.