01-10-2025 - Operations Research - Analytical Calculation of Basic Solutions [EN]-[IT]

@stefano.massari · 2025-10-01 01:33 · Olio di Balena

image.png


~~~ La versione in italiano inizia subito dopo la versione in inglese ~~~


ENGLISH optimized_image_1_.jpeg

01-10-2025 - Operations Research - Analytical Calculation of Basic Solutions [EN]-[IT] With this post, I would like to provide a brief instruction on the topic mentioned above. (lesson/article code: EX_LZ_11)

image.png

Image created with artificial intelligence, the software used is Microsoft Copilot

Introduction IMPORTANT NOTICE! This post was written to get your brains in gear... don't try to understand anything; I will not be held responsible for any brain damage. (Joke)

Let's get serious...

Linear programming is a mathematical method for optimizing an objective function subject to a set of constraints expressed as linear equations or inequalities. Writing a linear programming problem involves an objective function and constraints that must be met.

Below is a maximization exercise.

Exercise

image.png

First, let's put our linear programming problem into standard form. The slack variables s1 and s2 will be introduced.

image.png

The Coefficient Matrix Below is A, the coefficient matrix of the linear programming problem.

image.png

The vector of known terms Below is b, the vector of known terms.

image.png

Calculating the number of basic solutions To calculate the number of basic solutions, we can use the binomial coefficient formula, shown below.

image.png

Where n = the variables (which are 4 in our case) k = the constraints (which are 2 in our case)

In our case, by developing the formula we will have: follows:

image.png

So we now know that the number of basic solutions is 6.

Admissibility check, general principle To check whether a solution is admissible, we use the following procedure: 1- Choose a subset of columns of A (for example, a basis B). 2- If the chosen columns are linearly independent, it means that B is invertible. If B is not invertible, it is not a basis. 3- Calculate

image.png

Where: xB = basic variables xN = non-basic variables 4-Final verdict: if xB ≥ 0, then the basic solution is feasible; otherwise, it is infeasible.

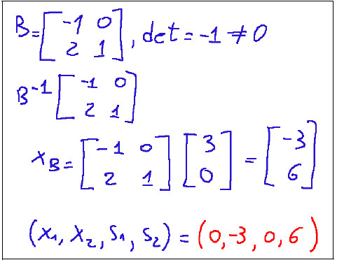
Feasibility check, basis 1 Basis (x1,x2)

image.png

In this case, it is not invertible, so it is not a basis.

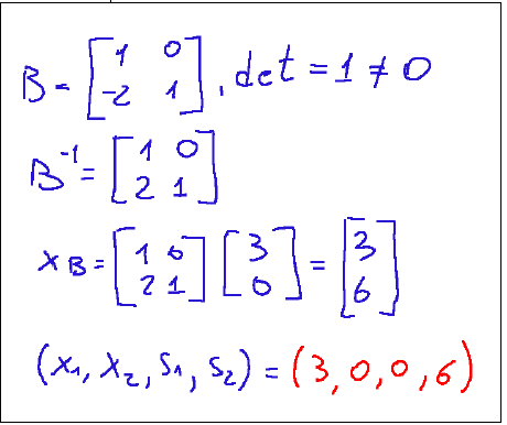
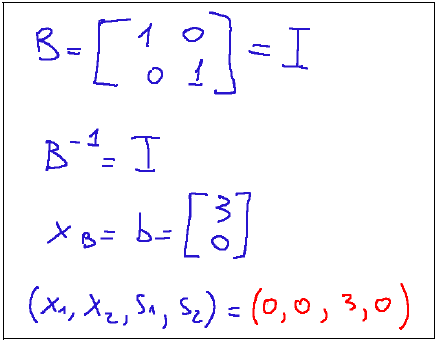
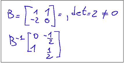
Admissibility check, basis 2 Basis (x1,s1)

image.png

Memory, here Here's how to calculate an inverse matrix.

image.png

Now we perform the calculation as described in point 3 of the section "Admissibility Check, General Principle."

image.png

So (x1,s1)=(0,3) while the other variables are zero.

image.png

All values ​​are ≥ 0, so we can deduce that basis 2 is admissible

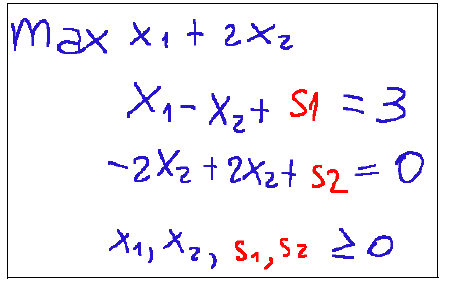
Admissibility check, basis 3 Basis (x1,s2)

image.png

All values ​​are ≥ 0, so we can deduce that base 3 is admissible.

Admissibility Check, Base 4 Base (x2,s1)

image.png

All values ​​are ≥ 0, so we can deduce that base 4 is admissible (equal to the second)

Admissibility Check, Base 5 Base (x2,s2)

image.png

All values ​​are not ≥ 0, so we can deduce that base 5 is inadmissible.

Admissibility check, base 6 Base (s1,s2)

image.png

All values ​​are ≥ 0, so we can deduce that basis 6 is feasible

Summary Bases 2, 4, and 6 are feasible (0, 0, 3, 0) Base 3 is feasible (3, 0, 0, 6) Base 5 is infeasible (0, -3, 0, 6) Base 1 (x1, x2) is a non-basis

Conclusions When a basic solution is feasible, it means that it satisfies all the constraints of the problem. including non-negativity. So a basic solution is the point of intersection of m constraints considered as equations, and it is feasible when that point actually lies within the feasible region of the problem, that is, it has no negative variables and satisfies all the constraints.

Question Linear programming was formally developed as a mathematical discipline in the 1940s. Among the most brilliant minds in this discipline is Leonid Khachiyan. Did you know that the Soviet-American mathematician introduced the elliptic method in the 1970s and demonstrated for the first time that linear programming problems could be solved in polynomial time? (Polynomial time is a concept in theoretical computer science that indicates the speed of an algorithm.)


gGQutTRs-hive-spacer.png


ITALIAN optimized_image.jpeg

01-10-2025 - Ricerca operativa - Calcolo analitico delle soluzioni di base [EN]-[IT] Con questo post vorrei dare una breve istruzione a riguardo dell’argomento citato in oggetto (codice lezione/articolo: EX_LZ_11)

image.png

immagine creata con l’intelligenza artificiale, il software usato è Microsoft Copilot

Introduzione AVVISO IMPORTANTE! Questo post è stato fatto per far fumare il cervello... non cercate di capire qualsiasi cosa, non mi riterrò responsabile di eventuali danni al cervello (momento scherzoso)

Torniamo seri...

La programmazione lineare è un metodo matematico per ottimizzare una funzione obiettivo soggetta a un insieme di vincoli espressi come equazioni o disequazioni lineari. La scrittura di un problema di programmazione lineare è caratterizzata da una funzione obiettivo e da vincoli da rispettare. Qui di seguito un esercizio di massimizzazione.

Esercizio

image.png

Per prima cosa portiamo in forma standard il nostro problema di programmazione lineare. Verranno introdotte le variabili di slack s1 e s2

image.png

La matrice dei coefficienti Qui di seguito è riportata A, ovvero la matrice dei coefficienti del problema di programmazione lineare.

image.png

Il vettore dei termini noti Qui di seguito è riportato b, ovvero il vettore dei termini noti.

image.png

Calcolo del numero delle soluzioni di base Per calcolare il numero delle soluzioni di base possiamo usare la formula del coefficiente binomiale, qui di seguito riportata.

image.png

Dove n=sono le variabili (che sono 4 nel nostro caso) k=sono i vincoli (che sono 2 nel nostro caso)

Nel nostro caso andando a sviluppare la formula avremo quanto segue:

image.png

Quindi sappiamo ora che il numero di soluzioni di base è 6

Verifica di ammissibilità, principio generale Per verificare se una soluzione è ammissibile usiamo il seguente procedimento: 1-Si sceglie un sottoinsieme di colonne di A (ad esempio una base B) 2-Se le colonne scelte sono linearmente indipendenti significa che B è invertibile, se B non è invertibile, non è una base. 3-Si calcola

image.png

Dove: xB=variabili di base xN=variabili fuori base 4-Verdetto finale, se xB≥0, allora la soluzione di base è ammissibile, altrimenti è non ammissibile.

Verifica di ammissibilità, base 1 Base (x1,x2)

image.png

In questo caso non è invertibile, quindi non è una base

Verifica di ammissibilità, base 2 Base (x1,s1)

image.png

Memo, qui di seguito come si calcola una matrice inversa

image.png

Ora eseguiamo il calcolo come descritto nel punto 3 del paragrafo “Verifica di ammissibilità, principio generale”

image.png

Quindi (x1,s1)=(0,3) mentre le altre variabili sono a zero.

image.png

Tutti i valori sono ≥ 0, quindi possiamo dedurre che la base 2 è ammissibile

Verifica di ammissibilità, base 3 Base (x1,s2)

image.png

Tutti i valori sono ≥ 0, quindi possiamo dedurre che la base 3 è ammissibile

Verifica di ammissibilità, base 4 Base (x2,s1)

image.png

Tutti i valori sono ≥ 0, quindi possiamo dedurre che la base 4 è ammissibile (uguale alla seconda)

Verifica di ammissibilità, base 5 Base (x2,s2)

image.png

Tutti i valori non sono ≥ 0, quindi possiamo dedurre che la base 5 è non ammissibile

Verifica di ammissibilità, base 6 Base (s1,s2)

image.png

Tutti i valori sono ≥ 0, quindi possiamo dedurre che la base 6 è ammissibile

Riassunto Le basi 2,4,6 sono ammissibili (0,0,3,0) La base 3 è ammissibile (3,0,0,6) La base 5 non è ammissibile (0,-3,0,6) La 1 (x1,x2) è una non base

Conclusioni Quando una soluzione di base è ammissibile significa che è una soluzione che rispetta tutti i vincoli del problema, compresa la non negatività. Quindi una soluzione di base è punto di intersezione di m vincoli considerati come equazioni, ed è ammissibile quando quel punto sta effettivamente dentro la regione ammissibile del problema e cioè non ha variabili negative e soddisfa tutti i vincoli.

Domanda La programmazione lineare è stata formalmente sviluppata come disciplina matematica negli anni 1940. Tra le menti più geniali di questa disciplina c'è Leonid Khachiyan. Sapevate che il matematico sovietico - americano, negli anni ’70 introdusse il metodo ellittico, egli dimostrò per la prima volta che i problemi di programmazione lineare si potevano risolvere in tempo polinomiale? (Il tempo polinomiale è un concetto dell’informatica teorica che indica la velocità di un algoritmo)

THE END

#learn #operationalresearch #neoxian #stem #ctp #pimp #palnet #vyb #archon #hueso
Payout: 4.172 HBD
Votes: 90
More interactions (upvote, reblog, reply) coming soon.