
~~~ La versione in italiano inizia subito dopo la versione in inglese ~~~
ENGLISH
19-10-2025 - Mechanical Systems - Balancing with the Kottas-Lau Method [EN]-[IT] With this post, I would like to provide a brief instruction on the topic in question. (lesson/article code: EX_LZ_31)

Image created with artificial intelligence, the software used is Microsoft Copilot
Introduction The Kottas-Lau method is a method used for balancing assembly lines and can be considered the heart of industrial engineering. This method models task times as normally distributed random variables, with mean Mk (average time of task k) and standard deviation σk (variability). The fundamental principle of the Kottas-Lau method is balancing total costs. It essentially minimizes the sum of labor costs (which decrease by reducing the number of stations) and non-completion costs. The latter increase with the probability of exceeding the cycle time Tc, causing blockages or offline executions. The key concept is the probability of completion. This method is applied in production contexts with a single product type. The Kottas-Lau method provides an acceptable solution that improves efficiency by reducing bottlenecks and costs in stochastic environments, achieving an efficiency of around 85%.
Main Features

Image created with artificial intelligence, the software used is Napkin.ai
The main features of the Kottas–Lau method are: - Minimizes the number of stations required on an assembly line. - Accounts for average times and variances of operations. - Respects precedence constraints between operations. - Consider the non-completion cost (I) for each operation.
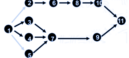
Exercise Let's try to balance the manual assembly line using the Kottas-Lau method, whose assembly cycle diagram is shown below. Keep in mind that: Tc = 10 minutes/unit C = $30/hour

Below is the table with the values needed to perform the balancing.

Initial Considerations From the diagram, we see that only the operation is available. 1, all the others depend on 1.
Inserting operation 1 Now we can perform partial sums, remembering that ΣM is the sum of the average times and Σσ^2, i.e., the overall uncertainty of a station's times (the greater the uncertainty, the greater the risk of exceeding the cycle time). ΣM=6 Σσ^2=1.2 σ=1.095
At this point we will have: Z= (10-6) / 1.095=3.65, which means that P=1.3x10^-4 (therefore safe). At this point, after 1, 2, 3, 4, and 5 become available, and we evaluate each one if added to the already open station. Evaluating the candidates on S1 We check ΣM and Σσ^2 with 2, 3, 4, and 5. We perform the previous calculations and find that among the available and desirable stations (2, 3, 5), we choose the one with the lowest Ik, and in our case, it is 5. I assign 5 to station 1.
We reconsider the available stations on S1 (1+5): 2, 3, 4 We use the same calculations as previously. We choose the desirable one with the lowest Ik, and it is station 2. So we assign 2 to station 1. Final check on S1 (1+5+2): available 3 (in addition to the critical 4) At this stage, we assign 3 to station 1. With 4 remaining undesirable, I therefore omit it.
Station 1 Station 1 will be {1, 5, 2, 3}
Station 2 and 3 For stations 2 and 3, perform the previously described calculations applied to the data for the corresponding stations.
Result Below is the result of the Kottas–Lau balancing for the manual assembly line shown in the exercise, with cycle time Tc = 10 min/u and cost/savings per piece for a station L = $5/u Station 1: { 1, 5, 2, 3 } Station 2: { 6, 8, 10 } Station 3: { 4, 7, 9, 11 } The Kottas–Lau method, applied to the given diagram and respecting the data in the table, concentrates the activities in 3 stations; it is cost-efficient but carries a higher operational risk.
Reading the result What did we do? We grouped the operations at workstations along the line, according to the Kottas-Lau method. Let's take this example: Station 1: { 1, 5, 2, 3 } This means that at the first station, the operator, within the cycle time Tc=10 min, performs those operations on the part. Once these operations are completed, the part moves to the next station. Let's take this example:
Station 2: { 6, 8, 10 } This means that at the second station, the operator must perform operations 6, then 8, then 10. For station 3, the reasoning is the same. This means that there are three operators working in parallel on sequential stations, each with their own set of operations to perform.
Conclusions The Kottas–Lau method is a calculation method used to balance assembly lines and minimize costs. The three lines we see as the result of the exercise indicate which operations each station performs within the cycle time, respecting their priorities. This is the least costly configuration found by Kottas–Lau for this line.
Question Did you know that the Kottas–Lau method was created in 1976 by Kottas and Lau, experts in industrial engineering and manufacturing process optimization? Did you know that one of the first documented applications involves the assembly of a three-pole circuit breaker? Did you know that the method was used to minimize the number of stations and the costs of completing such circuit breakers?

ITALIAN
19-10-2025 - Impianti meccanici - Bilanciare con il metodo Kottas-Lau [EN]-[IT] Con questo post vorrei dare una breve istruzione a riguardo dell’argomento citato in oggetto (codice lezione/articolo: EX_LZ_31)

immagine creata con l’intelligenza artificiale, il software usato è Microsoft Copilot
Introduzione Il metodo di Kottas-Lau è un metodo usato per il bilanciamento delle linee di assemblaggio e può essere considerato come il cuore dell'ingegneria industriale. Questo metodo modella i tempi dei task come variabili casuali normalmente distribuite, con media Mk (tempo medio del task k) e deviazione standard σk (variabilità). Il principio fondamentale del metodo Kottas-Lau è il bilanciamento dei costi totali. Sostanzialmente minimizza la somma tra i costi del lavoro (che diminuiscono riducendo il numero di stazioni) e i costi di mancato completamento. Questi ultimi aumentano con la probabilità di superare il tempo di ciclo Tc, causando blocchi o esecuzioni offline. Il concetto chiave è la probabilità di completamento. Questo metodo è applicato in contesti di produzione con un solo tipo di prodotto. Il metodo di Kottas-Lau fornisce una soluzione accettabile che migliora l'efficienza riducendo blocchi e costi in ambienti stocastici, raggiungendo un'efficienza intorno all’85%
Le caratteristiche principali

immagine creata con l’intelligenza artificiale, il software usato è Napkin.ai
Le caratteristiche principali del metodo Kottas–Lau sono: -Minimizza il numero di stazioni necessarie in una linea di montaggio. -Tiene conto dei tempi medi e delle varianze delle operazioni. -Rispetta i vincoli di precedenza tra le operazioni. -Considera il costo di mancato completamento (I) per ogni operazione.
Esercizio Proviamo a bilanciare con il metodo Kottas-Lau la linea di assemblaggio manuale di cui è riportato di seguito il diagramma del ciclo di assemblaggio. Teniamo presente che; Tc=10 minuti/unità C = 30 $/ora

Qui di seguito la tabella con i valori necessari per effettuare il bilanciamento

Considerazioni iniziali Dallo diagramma vediamo che è disponibile solo l’operazione 1, tutte le altre dipendono da 1.
Inserimento dell’operazione 1 Ora possiamo fare le somme parziali, ricordando che ΣM è somma dei tempi medi e Σσ^2, ovvero incertezza complessiva dei tempi di una stazione (maggiore è, maggiore è il rischio di sforare il tempo di ciclo) ΣM=6 Σσ^2=1,2 σ=1,095
A questo punto avremo: Z= (10-6) / 1,095=3,65 il che significa che P=1,3x10^-4 (quindi sicura) A questo punto dopo 1, diventano disponibili 2,3,4,5 e valutiamo ognuna se aggiunta alla stazione già aperta. Valutazione delle candidate su S1 Controlliamo ΣM e Σσ^2 con 2, 3, 4 e 5 Eseguiamo i calcoli di prima e avremo che tra le disponibili e desiderabili (2,3,5) si sceglie quella con Ik minore e nel nostro caso risulta 5. Assegno 5 alla stazione 1.
Si riconsiderano le disponibili su S1(1+5): 2, 3, 4 Usiamo gli stessi calcoli svolti in precedenza. Si sceglie la desiderabile con Ik minore, ed è la 2 Quindi assegniamo 2 alla stazione 1. Ultima verifica su S1(1+5+2): disponibile 3 (oltre alla critica 4) In questa fase assegnamo 3 alla stazione 1. Con 4 che rimane non desiderabile, di conseguenza non la metto.
La stazione 1 La stazione 1 sarà {1, 5, 2, 3}
La stazione 2 e 3 Per la stazione 2 e 3 si eseguono i calcoli visti in precedenza applicati ai dati delle stazioni relative.
Risultato Qui di seguito il risultato del bilanciamento Kottas–Lau per la linea di assemblaggio manuale riportata nell’esercizio, con tempo ciclo Tc=10 min/u e con costo/risparmio per pezzo di una stazione L=5$/u Stazione 1: { 1, 5, 2, 3 } Stazione 2: { 6, 8, 10 } Stazione 3: { 4, 7, 9, 11 } Il metodo Kottas–Lau, applicato al diagramma dato e rispettando i dati della tabella, concentra le attività in 3 stazioni; è efficiente in costo ma con rischio operativo più alto.
Lettura del risultato Cosa abbiamo fatto? Abbiamo raggruppato le operazioni nelle postazioni di lavoro lungo la linea, secondo il metodo Kottas-Lau. Prendiamo come esempio questa scrittura Stazione 1: { 1, 5, 2, 3 } Questo significa che alla prima postazione l’operatore, entro il tempo ciclo Tc=10 min, esegue quelle operazioni sul pezzo. Una volta finite queste operazioni, il pezzo passa alla stazione successiva. Prendiamo come esempio questa scrittura
Stazione 2: { 6, 8, 10 } Questo significa che nella seconda postazione l’operatore deve fare le operazioni 6, poi 8, poi 10. Per la stazione 3 si ragiona alla stessa maniera. Questo significa che ci sono tre operatori che lavorano in parallelo su stazioni sequenziali, ognuno con il proprio pacchetto di operazioni da svolgere.
Conclusioni Il metodo Kottas–Lau è un metodo di calcolo usato per il bilanciamento delle linee di assemblaggio e serve per minimizzare i costi. Le tre righe che vediamo come risultato dell’esercizio indicano quali operazioni esegue ciascuna stazione entro il tempo ciclo rispettando le precedenze. È la configurazione meno costosa trovata dal Kottas-Lau per questa linea.
Domanda Sapevate che il metodo Kottas–Lau è stato creato nel 1976 da Kottas e Lau, esperti di ingegneria industriale e ottimizzazione dei processi produttivi? Sapevate che una delle prime applicazioni documentate riguarda il montaggio di un interruttore tripolare? Sapevate che il metodo fu usato per minimizzare il numero di stazioni e i costi di completamento di tali interruttori?
THE END