
~~~ La versione in italiano inizia subito dopo la versione in inglese ~~~
ENGLISH
29-10-2025 - Mechanical Systems - Depreciation of Industrial Plants [EN]-[IT] With this post, I would like to provide a brief overview of the topic in question. (Lesson/Article Code: EX_LZ_09)

Image created with artificial intelligence, the software used is Microsoft Copilot
Introduction Depreciation is the economic and financial accounting process through which the cost of a capital asset is distributed over time, taking into account its loss in value due to use, time, obsolescence, or inadequacy. The purpose of depreciation is to compensate for the loss in value of the capital invested in an asset.
The type of depreciation

Image created with artificial intelligence, the software used is Napkin.ai
Depreciation can be of three types: -Accounting. Accounting depreciation is the symbolic reconstruction of the asset's value, without discounting. -Economic. Economic depreciation is obtained by realizing the value, discounting it and including interest. -Financial. Financial depreciation is a repayment plan for a debt incurred to purchase the asset, with real cash flows.
Questions What is financial amortization? Financial amortization is a gradual repayment plan for a debt incurred to purchase an investment. It does not necessarily have to be a productive investment. Financial amortization includes installments, including interest, paid periodically and generates real cash outflows. Examples of financial amortization include mortgages or bank loans. In these cases, a constant payment is made that covers both the principal and the interest.
What is the difference between financial amortization and economic amortization? Below are some differences between the two types of amortization. Financial amortization is a capital asset, while economic amortization is a debt/mortgage taken out to purchase an asset. Another difference is the duration: financial amortization has an expected useful life, which is that of the asset, while the duration of economic amortization depends on the term of the contract, set by the creditor. Another significant difference between the two types of depreciation is their purpose. Economic depreciation aims to reconstruct the asset's economic value, while financial depreciation aims to repay the debt.
What are the distinguishing features? Economic Depreciation: - Bj installments discounted at the interest rate 𝑖. Bj installments are the economic depreciation installments set aside in each period 𝑗 to spread the initial value of a capital asset over its entire useful life, including interest. - Includes the residual value 𝑉𝑟 discounted for 𝑛+1 years. The residual value 𝑉𝑟 is the value expected to be attributed to a capital asset at the end of its useful life. - Does not involve real cash flows. - Used to assess the asset's economic viability. Financial Depreciation: - S installments calculated using debt repayment formulas. S installments are the constant installments paid periodically to repay a financial debt incurred for the purchase of an asset, such as an industrial plant. - It involves real payments (constant installment) - It includes interest and principal - It is used to plan loan repayment
Exercise With reference to a €180,000 loan, requested from a credit institution and granted an annual interest rate of 3.5%... - calculate the value of the annual installment (S) to be paid to repay the debt in 20 years, using the constant annual installment method. - Also calculate the total value of the interest (I) paid over the entire period.
Exercise Data Initial Capital V0 = €180,000 Annual Interest Rate i = 3.5% = 0.035 Loan Term n = 20 Years
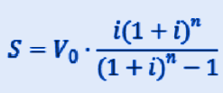
Procedure Annual Installment S In this case, we must remember the formula for the constant installment S, which I report below:

By developing the various calculations, we arrive at the final multiplication, which is following:

Total Interest 𝐼 Let's start with the total interest calculation formula below.

By developing the various calculations, we arrive at the following difference.

Result Annual payment S = €12,672 Total interest 𝐼 = €73,440
Conclusions Depreciation is a tool that serves both economic and management purposes. Depreciation is the economic and financial accounting process through which the cost of an asset is distributed over time and is a fundamental tool for managing fixed capital. Depreciation allows the cost of a capital asset to be distributed over its useful life and reflects the loss in value due to wear, obsolescence, or inadequacy. For mechanical systems, it is a crucial tool as it allows for assessing the profitability of an investment and is essential for investment planning.
Question Did you know that in the history of accounting, the concept of systematic depreciation of durable goods dates back to the 15th and 16th centuries, with Italian merchants such as Luca Pacioli (1445-1517)?

ITALIAN
29-10-2025 - Impianti meccanici - Ammortamento degli impianti industriali [EN]-[IT] Con questo post vorrei dare una breve istruzione a riguardo dell’argomento citato in oggetto (codice lezione/articolo: EX_LZ_09)

immagine creata con l’intelligenza artificiale, il software usato è Microsoft Copilot
Introduzione L’ammortamento è il processo contabile economico finanziario attraverso il quale si ripartisce nel tempo il costo di un bene strumentale, tenendo in considerazione della sua perdita di valore dovuta all’uso, al tempo, all’obsolescenza o all’inadeguatezza. Lo scopo dell’ammortamento è quello di compensare la perdita di valore del capitale investito in un bene.
Il tipo di ammortamento

immagine creata con l’intelligenza artificiale, il software usato è Napkin.ai
Gli ammortamenti possono essere di tre tipologie: -Contabile L’ammortamento contabile è la ricostruzione simbolica del valore del bene, senza attualizzazione. -Economico. L’ammortamento economico si ottiene facendo la ripartizione reale del valore, con attualizzazione e inclusione degli interessi. -Finanziario. L’ammortamento finanziario è un Piano di rimborso di un debito contratto per acquistare il bene, con flussi monetari reali.
Domande Che cos’è l’ammortamento finanziario? L’ammortamento finanziario è un piano di estinzione graduale di un debito contratto per l’acquisto di un bene di investimento. Non necessariamente deve essere un investimento produttivo. L’ammortamento finanziario include quote comprensive di interessi, versate periodicamente e genera flussi monetari reali in uscita. Un esempio di ammortamento finanziario possono essere i mutui o i prestiti bancari. In questo caso si versa una rata costante che copre sia il capitale che gli interessi.
Qual è la differenza tra ammortamento finanziario e ammortamento economico? Qui di seguito sono elencate alcune differenze tra le due tipologie di ammortamento. L’ ammortamento finanziario è un bene strumentale, mentre l’ammortamento economico è un debito/mutuo fatto per acquistare un bene. Un’altra differenza consiste nella durata, l’ammortamento finanziario ha una vita utile prevista che è quella del bene, mentre la durata dell'ammortamento economico dipende dalla durata del contratto, fissata dal creditore. Un’altra differenza tra i due ammortamenti piuttosto importante è la finalità. L’ammortamento economico ha come finalità la ricostruzione del valore economico del bene, mentre l’ammortamento finanziario ha come finalità il rimborso del debito.
Quali gli elementi che li contraddistinguono? Ammortamento Economico: -Quote Bj attualizzate con tasso di interesse 𝑖. Le quote Bj sono le rate di ammortamento economico che vengono accantonate in ciascun periodo 𝑗 per ripartire il valore iniziale di un bene strumentale lungo tutta la sua vita utile, includendo anche gli interessi -Include il valore residuo 𝑉𝑟 attualizzato per 𝑛+1 anni. Il valore residuo 𝑉𝑟 è il valore che si prevede di attribuire a un bene strumentale al termine della sua vita utile -Non comporta flussi monetari reali -Serve per valutare la convenienza economica del bene Ammortamento Finanziario: -Quote S calcolate con formule di estinzione del debito. Le quote S sono le rate costanti che si versano periodicamente per estinguere un debito finanziario contratto per l’acquisto di un bene, come ad esempio un impianto industriale. -Comporta pagamenti reali (rata costante) -Include interessi e capitale -Serve per pianificare il rimborso del prestito
Esercizio Con riferimento ad un prestito finanziario di 180000 €, richiesto ad un Istituto di credito e concesso un tasso di interesse annuo pari al 3,5%.... -calcolare il valore della rata annuale (S) da versare per l’estinzione del debito in 20 anni, utilizzando il metodo a rata annuale costante. -calcolare altresì il valore complessivo degli interessi (I) versati nell’intero periodo.
Dati dell’esercizio Capitale iniziale V0=180.000 € Tasso di interesse annuo i=3,5%=0,035 Durata del prestito n=20 anni
Svolgimento Rata annuale S In questo caso dobbiamo ricordare la formula della rata costante S che riporto qui sotto:

Sviluppando i vari calcoli arriviamo alla moltiplicazione finale che è la seguente:

Interessi totali 𝐼 Partiamo dalla formula del calcolo degli interessi totali riportata qui sotto

Sviluppando i vari calcoli arriveremo alla seguente differenza

Risultato Rata annuale S = 12.672 € Interessi totali 𝐼 = 73.440 €
Conclusioni L’ammortamento è uno strumento che ha una funzione sia economica che gestionale. L’ammortamento è il processo contabile economico finanziario attraverso il quale si ripartisce nel tempo il costo di un bene ed è uno strumento fondamentale per la gestione del capitale fisso. L’ammortamento permette di ripartire il costo di un bene strumentale lungo la sua vita utile e riflette la perdita di valore dovuta a usura, obsolescenza o inadeguatezza. Per gli impianti meccanici è uno strumento importantissimo in quanto permette di valutare la redditività di un investimento e in quanto essenziale per la programmazione degli investimenti.
Domanda Sapevate che nella storia della contabilità, il concetto di ammortamento sistematico dei beni durevoli ha origini nel XV-XVI secolo con i mercanti italiani, come Luca Pacioli (1445-1517)?
THE END