
~~~ La versione in italiano inizia subito dopo la versione in inglese ~~~
ENGLISH
30-10-2025-Industrial Logistics - Automated Warehouses [EN]-[IT]
With this post, I would like to provide a brief instruction on the topic mentioned in the article. (lesson/article code: EX_08)

Image created with artificial intelligence, the software used is Microsoft Copilot
Introduction An automated warehouse is a storage and retrieval system in which handling operations are performed automatically by dedicated machines. These machines are usually stacker cranes on racks. The automated warehouse aims to store and make materials available quickly, accurately, and safely. Other objectives of the automated warehouse include minimizing manual labor and space usage.
Below is an image of an automated warehouse.

Image created with artificial intelligence, the software used is Microsoft Copilot
Introduction to the mathematical tools used to predict and design Simple Cycles CS and Complex Cycles CC When designing automated storage systems, it is essential to evaluate, in advance, the performance of these systems in terms of the number of load units the system can move per unit of time.
To calculate the cycles, we start from some basic assumptions described below. - Equiprobability, meaning each compartment has the same probability of being the origin/destination. - Simplified kinematics, meaning the stacker crane moves at steady-state speed (the accel/decel phases are absorbed into the fixed times for picking/placing, alignment, etc.). The main methods for calculating simple cycles are:
F.E.M. Standards 9851 The F.E.M. Standards 9851 are technical guidelines issued by the European Materials Handling Federation, and concern the performance assessment of automated warehouses served by stacker cranes. These standards define average cycle times using three "average" travel times, for both the simple cycle (see formula a) and the combined cycle (see formula b).

Where: t(P1), t(P2), t(P1P2) = average travel times resulting from the fact that horizontal/vertical movements can occur simultaneously.
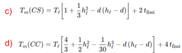
Bozer & White Methodology A more rigorous, probabilistic approach. In this method, preliminary calculations are performed, then the "lateral" times in time coordinates, the average times, and the average internal transfer time are calculated. In this case, the formulas for calculating the simple cycle time (c) and the combined cycle time (d) are more extensive and are shown below.

Note: Fixed times (x) include picking or placing, alignments, any sensor checks, etc.
Calculate the throughput of the stacker crane The throughput of the stacker crane is essentially the average capacity of the stacker crane, i.e., how many load units (also called UDCs) it moves per unit of time. It is obtained by starting from the average cycle time Tm. Below is the value for the Simple Cycle (SC) (formula e), a withdrawal or a deposit, and for the Combined Cycle (CC), a deposit + withdrawal in the same cycle (formula f).

Where: Tm (SC) and Tm (CC) are calculated using the F.E.M. 9851 standard or the Bozer & White methodology, including fixed times. NOTE: With a simple cycle (SC), two SCs are needed to have an IN and an OUT unit. With a combined cycle (CC), one storage and one retrieval take place in one cycle.
Conclusions An automated warehouse efficiently manages the storage and handling of goods, leveraging robotic technologies and advanced software. Its primary function is that storage occurs automatically, with load units (boxes, pallets, containers) being placed on racks using stacker cranes. Automated warehouses can be integrated with ERP systems (management software). The advantages of automated warehouses include error reduction, space optimization, increased operational speed, safety, and adaptability to peak workloads. Automated warehouses are used in e-commerce, distribution, automotive, components, and the pharmaceutical industry.
Question Did you know that Germany and the United States were pioneers in the development of the first automated warehouses? Did you know that one of the most important automated warehouses in the world is located in Italy, one of the Barilla plants?

ITALIAN
30-10-2025-Logistica Industriale - Magazzini automatizzati [EN]-[IT]
Con questo post vorrei dare una breve istruzione a riguardo dell’argomento citato in oggetto (codice lezione/articolo: EX_08)

immagine creata con l’intelligenza artificiale, il software usato è Microsoft Copilot
Introduzione Un magazzino automatizzato è un sistema di stoccaggio e prelievo in cui le operazioni di movimentazione sono svolte automaticamente da macchine dedicate. Queste macchine solitamente sono trasloelevatori su scaffalature. Il magazzino automatizzato ha come fine quello di custodire e rendere disponibili materiali con tempi, accuratezza e sicurezza elevati. Gli altri obiettivi del magazzino automatizzato sono quelli di minimizzare il lavoro manuale e l’uso di spazio. Qui di seguito un'immagine di un magazzino automatizzato.

immagine creata con l’intelligenza artificiale, il software usato è Microsoft Copilot
Introduzione agli strumenti matematici utilizzati per prevedere e disegnare i Cicli Semplici CS e i Cicli Complessi CC Nella fase di progettazione dei sistemi di stoccaggio automatizzati è indispensabile valutare, in via preventiva, le prestazioni di questi sistemi in termini di numero di unità di carico che il sistema è in grado di movimentare nella unità di tempo.
Per calcolare i cicli partiamo da alcune ipotesi di base descritte qui di seguito. -Equiprobabilità, cioè ogni vano ha la stessa probabilità di essere origine/destinazione. -Cinematica semplificata, cioè il trasloelevatore si muove a velocità a regime (le fasi accel/decel sono assorbite nei tempi fissi di presa/posa, allineamenti, ecc.) I metodi principali per il calcolo dei cicli semplici sono:
Norme F.E.M. 9851 Le Norme F.E.M. 9851 sono linee guida tecniche emanate dalla Federazione Europea della Movimentazione, e riguardano la valutazione delle prestazioni dei magazzini automatici serviti da trasloelevatori. Queste norme definiscono i tempi medi di ciclo usando tre tempi “medi” di spostamento, sia per il ciclo semplice (vedi formula a), sia per il ciclo combinato (vedi formula b)

Dove: t(P1), t(P2), t(P1P2) = tempi medi di percorrenza risultanti dal fatto che i movimenti orizzontali/verticali possono avvenire in contemporanea
Metodologia Bozer & White Un approccio probabilistico, più rigoroso. In questo metodo vengono eseguiti dei calcoli preliminari, poi si calcolano i tempi “di lato” in coordinate temporali, i tempi medi, ed il tempo medio di trasferimento interno. In questo caso le formule per calcolare il tempo ciclo semplice (c) e il tempo ciclo combinato (d) risultano più ampie e sono mostrate qui di seguito.

Nota: I tempi fissi 𝑡 fissi includono presa o posa, allineamenti, eventuali check sensori, ecc… ecc…
Calcola la prestazione (throughput) del trasloelevatore La prestazione (throughput) del trasloelevatore è sostanzialmente la potenzialità media del trasloelevatore, cioè quante unità di carico (dette anche UDC) movimenta nell’unità di tempo. Si ottiene partendo dal tempo medio di ciclo Tm. Qui di seguito quanto vale per il Ciclo Semplice (CS) (formula e), un prelievo oppure un deposito e per il Ciclo Combinato (CC), deposito + prelievo nello stesso ciclo (formula f)

Dove: Tm (CS) e Tm (CC) si calcolano con le Norme F.E.M. 9851 o con la metodologia Bozer & White, includendo i tempi fissi. NOTA: Con ciclo semplice (CS), per avere un’unità IN e una OUT servono due CS. Con ciclo combinato (CC), in un ciclo si fa un deposito e un prelievo
Conclusioni Un magazzino automatizzato serve a gestire in modo efficiente lo stoccaggio e la movimentazione delle merci, sfruttando tecnologie robotiche e software avanzati. La sua funzione principale è che lo stoccaggio avviene in modo automatico e le unità di carico (scatole, pallet, contenitori) vengono sistemate su scaffalature tramite trasloelevatori. I magazzini automatici possono essere integrati con sistemi ERP (un software gestionali). I vantaggi dei magazzini automatici sono la riduzione degli errori, l’ottimizzazione dello spazio, una maggior velocità operativa, sicurezza e adattabilità ai picchi di lavoro. I magazzini automatici si usano nel settore dell'e-commerce, nella distribuzione, nell’automotive, nella componentistica e nell’industria farmaceutica.
Domanda Sapevate che Germania e Stati Uniti sono stati pionieri nello sviluppo dei primi magazzini automatizzati? Sapevate che uno dei magazzini automatizzati più importanti al mondo si trova in Italia ed è uno degli stabilimenti Barilla?
THE END