Proof of FDA Fraudulently colluding with Pfizer to Conceal Concentration of modRNA in Vital Organs

@valued-customer · 2025-10-04 19:05 · life

I have been following Dr. Robert Malone for a while now (despite he's a statist), and receive emails notifying me of his Substack posts. Dr. Malone is now on the ACIP committee which makes recommendations to the US Sec. of HHS regarding vaccines. Secretary Kennedy fired the entire ACIP committee for being compromised and replaced them a while back, which is how Dr. Malone became a member of the committee.

Dr. Malone has documented his original invention of the mRNA vaccine technology back in the 1980s, and became very skeptical of the Covid jabs after he suffered injury from being jabbed. His Substack today contains shocking proof the FDA colluded with pharmaceutical companies to falsify the distribution study of the jabs, concealing the concentration of the mRNA in vital organs, and the particularly severe effect in females.

This has been proved because Pfizer submitted documents to the government of Japan that were less altered - not unaltered. The pics of the mice still were cropped so that their heads didn't show, and that conceals whether the jab juice went into their brains (which it did. Hundreds of the adverse effects of the jabs are neurological). Dr. Byram Bridle studied and reported on these documents Pfizer submitted to Japan.

"Canadian vaccinologist Dr. Byram Bridle had recently completed a rigorous retrospective assessment of the initial Pfizer submission to the Japanese regulatory authority, with a particular focus on the Pharmacodistribution/Biodistribution submission information."

Dr. Maryanne Demasi has stated "When ACIP finally confronted Moderna and Pfizer, both companies evaded questions — and Moderna lied outright.”

FDAImageManipulation.jpg IMG source - Malone.News - taken from a report by Dr. Byram Bridle

To get a clear understanding of the deliberate fraud perpetrated by the FDA in collusion with Pfizer to conceal concentration of the mRNA in vital organs of the mice - in order to cause that same harm to people - go to Dr. Malone's Substack post and read the article, which details the several manipulations of this image, redactions that conceal other evidence of accumulation in vital organs, and outright lies regarding these facts. Of particular concern is that the accumulation is worse in females.

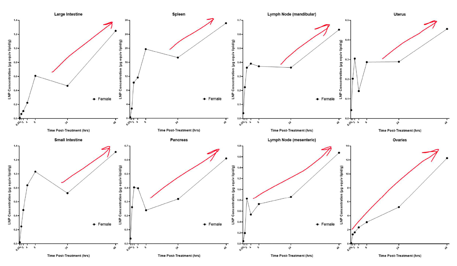
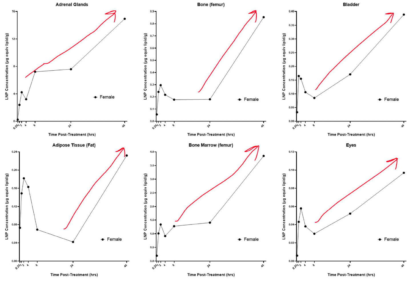
LIverClearanceSexDifference.jpg IMG source - Malone.News - Dr. Bridle noted mRNA continued to accumulate in livers of female mice while male mice were clearing it

FemaleAccumulationI.jpg FemaleAccumulationII.jpg IMG source - Malone.News - Dr. Bridle indicates with red arrows that in females mRNA continued to accumulate in organs and tissues - none as much as ovaries

While the FDA and the pharmaceutical companies were colluding to conceal the accumulation of the modified RNA in vital organs, the contract to produce the mRNA jabs was with the Pentagon, and was to produce a military countermeasure. Pfizer and Moderna were not contracted by CDC, NIH, NIAID, or FDA, but with the US DOD, and what they produced were not vaccines, but bioweapons, because deploying weapons, not medicines, is the purpose of military forces. This collusion defrauded the US DOD, and did not fulfill the terms of the contract, as shown below.

These contracts have been documented by Karen Kingston, who provides specific details on her Substack that prove the jabs weren't vaccines at all, but military countermeasures.

PfizerOWSObligation.jpeg IMG source - KarenKingston.Substack

Epidemiologist Nicolas Hulscher, MPH, discusses the latest MAHA (Make America Healthy Again) action involving Pfizer on his Substack, TheFocalPoints.com. There in an interview with Maria Zee he points out that 'criminal enterprise' Pfizer has been fined 107 times for fraud and criminal acts, and are now being rewarded with a $70B deal with President Trump. Trump (relatively) gently criticized vaccines.

"...you know, it [autism] is artificially induced. It’s not like something that when you go from all of those healthy babies to a point where I don’t even know structurally if a country can afford it, and that’s the least of the problems.

“To have families destroyed over this is just so, so terrible. I also — and we’ve already done this — we want no mercury in the vaccine. We want no aluminum in the vaccine. The MMR, I think, should be taken separately.

“This is based on what I feel. The mumps, measles and [rubella], the three, should be taken separately. And it seems to be that when you mix them there could be a problem.

“So there’s no downside in taking them separately. In fact, they think it’s better. So let it be separate. The chickenpox is already separate because when that got mixed in [with other things], it really was bad.

...

“So there’s no downside in doing it [spacing vaccines]. It’s not like, oh, if you do it — bad things. No, it’s only good. And it may not have that much of an impact, but it may have a big impact. So let those be taken separately.

“And then hepatitis B is sexually transmitted. There’s no reason to give a baby that’s almost just born hepatitis B."

--https://www.vigilantfox.com/p/donald-trumps-vaccine-statements

Hear him say it yourself.

But his softball mitigation of the childhood vaccine schedule doesn't have anything to do with the military bioweapon(s) he inked the contract(s) to produce, or the deliberate fraud and collusion the supposed regulatory agency the FDA committed to get them in your arm - and brain, liver, and ovaries. He laments the insuperable structure autism rates inflict on America, but neglects the literal genocide, and genetic modification of survivors, Pfizer and the FDA deliberately caused.

Maria Zee, attorney Tom Renz, and epidemiologist Nick Hulscher discuss this below.

Hey @peakd and @hive.blog, do you think you can maybe get Rumble embeds to work? Peakd got Odysee embeds working, but Hive.blog shows a blank post if you embed an Odysee video in a post. Hive has been a social media platform for 5 years now, and before that it was Steem for a few more. This functionality is a basic need for sharing information, which is what free speech and social media is all about.

This code seems pretty simple.

The Tubeyou code is more complex, and encompasses the Rumble code elements in this following code that actually works, as the video embedded below demonstrates.

What's the holdup? Is it the missing title? The class? Other crap the Goolag code allows? This platform has had 8 years to get this to work. The draw of a social media site is it's library of content, and instead of folks getting it here, this non-functionality forces folks that do come here to go to other sites to get to the content.

Anyway, dear readers, ya'll should hear what Nick, Tom, and Maria have to say about this criminal conspiracy to slaughter Americans and all humanity with bioweapons fraudulently claimed to be vaccines, for a cold virus Anthony Fauci used USG taxpayer funds to pay Ralph Baric and Shi Zhengli to create in the Wuhan Institute of Virology, so here is the link to Rumble where the content I can't share directly on Hive, even though Rumble made it easy to do, is at.

My opinion is that spooks are conquering the world with the Epstein (and Diddy, NXIVM, Weiner/Abedin laptop, McMartin Preschool/Praesidio, Franklin Savings and Loan, Boystown, Dutroux, Saville, and more) files that they use to blackmail Trump and most of Congress, Starmer, Macron, Ursula Von Der Leyen, Merz, Putin, Zelensky, Popes, TV preachers, and all the other groveling minion figureheads of states and institutions, own a controlling interest in ~90% of stock corporations in the world, run the enemedia, WEF, GAVI, WHO, UN, and the banks from the BIS on down, with blackmail, bribes, and brutality, as Charlie Kirk and Gaza reveal, and have been since before they shot Kennedy. The plandemic, AGW climate change, gender/fertility crisis, chemtrails, EMF, DEWs, 911, TIA surveillance, censorship, and fake history are all frauds and weapons to keep us from grasping we're at war and losing the world to psychopaths that intend to kill us all and take it from our cold, dead fingers.

This pfraud by the pFDA isn't just about money. It's already killed more people than died in WWII, and even worse is that the concentration of the LNP's (lipid nanoparticles) carrying the mRNA into ovaries spam foreign DNA that is transcribed into foetuses and heritably changes the DNA of those it doesn't kill. Humanity is being GMO'd.

We out number, out gun, out produce, out think them, and massively out love one another (Machiavellian narcissistic psychopaths cannot love at all) - once we get past our indoctrination and censorship, and we are - and we will put an end to this evil for once and for all when we do. We can fix our DNA with the thousands of new CRISPR mechanisms we've just discovered. We can 3d print our goods, replacement organs grown from our own stem cells, and medicines, automate aquaponics and add luxurious conservatories to our homes, make flying cars in our garages, even manufacture spacecraft. All of these technologies are science fact, not fiction. We just have to wrap our head around deploying them, improve designs, and automate them, which AI has emerged and been released in the wild just at the right time to do.

Seize the means of production suitable to your personal circumstances and render centralization obsolete by making what you need yourself, working with your neighbors and communities so they can too, and cut psychopaths off from parasitizing our production that is their only source of wealth, until automation replaces us - or rids us of them.

Remember that Malcolm X and the Black Panthers were allying with George Lincoln Rockwell and the American Nazi Party before both were assassinated, and grasp the truth that all humanity can and will ally together against our common enemies that are killing all of us, blue haired liberals and blue blooded conservatives alike.

when-malcolm-x-met-the-nazis.jpg IMG source - Vice.com

Remember that Occupy Wall Street was defeated through infiltration by agents provocateur that divided homosexuals against heterosexuals, Blacks against Whites, citizens against immigrants, and turned into Pride floats sponsored by JP Morgan, Chase, and Citi. Our divisions are manufactured, weapons that destroy our common humanity and ability to defend it.

OWSDerangement.jpg IMG source - Media-analytics.op-bit.nz/

I'm not saying we won't have to fight to save our lives, our children, and humanity from vicious, genocidal brutality. I'm saying fighting isn't going to change politics, and we must for humanity to survive. Violent revolutions just replace evil overlords with new ones. Economic evolution will eliminate them, and will do so whether we survive or not. Whom survives will adopt decentralized means of production because it is more productive than centralization of production. The most advanced tech is the most productive tech, and decentralization of the means of production is the cutting edge of tech advance across every field of industry.

Human beings are sovereign. We can't not be. We each alone are able to will our heavy hands to rise to our weary brows to wipe away the dripping sweat of our hard labors. We each individually have the sole authority to exercise our will, and no higher authority exists over us. We rule ourselves and can only be coerced to act against our will. Because of this physical reality, Anarchy cannot exist and enslavement to external authority is a crime against the laws of physics. Pan-Autarchy - Panarchy - is what actually exists, because we are born Autarchs of our sovereign selves.

None of this is accidental, random, or mere chance, IMHO. The vast majority of humanity want to be just, to be good, and to enjoy our good company amongst our free society. We are indoctrinated and demoralized, to prevent us from even understanding we are sovereign, wholly competent, and interdependent on one another, in the main. Great spiritual power lies within us we are drugged, bullied, and baffled with bullshit to prevent our awakening to it. Providence has availed us decentralized means of production at this moment, that eliminate parasitic losses of our personal production, that require no capital investment loaned at interest, require no external management, and create no taxable events. Evil overlords are the obligatory parasites that eliminates. Opportunity knocks. Open the door to real freedom and prosperity for our posterity in perpetuity. How much more blackmail, bribery, and brutality must we suffer before the survivors realize we have the choice to live by our merit, or suffer and die?

Do this before nukes start flying, before digital ID surveillance is ubiquitous and controls every pfennig we spend. Do it while we're still human, before our DNA is altered by deception and force, and our beloved sons and daughters become GMO cattle evil psychopaths farm for fun and profit. Choose to live.

#life #news #informationwar #pob #corruption #biowarfare #fdafraud #pfizerpfraud #covid #jabs
Payout: 0.000 HBD
Votes: 53
More interactions (upvote, reblog, reply) coming soon.