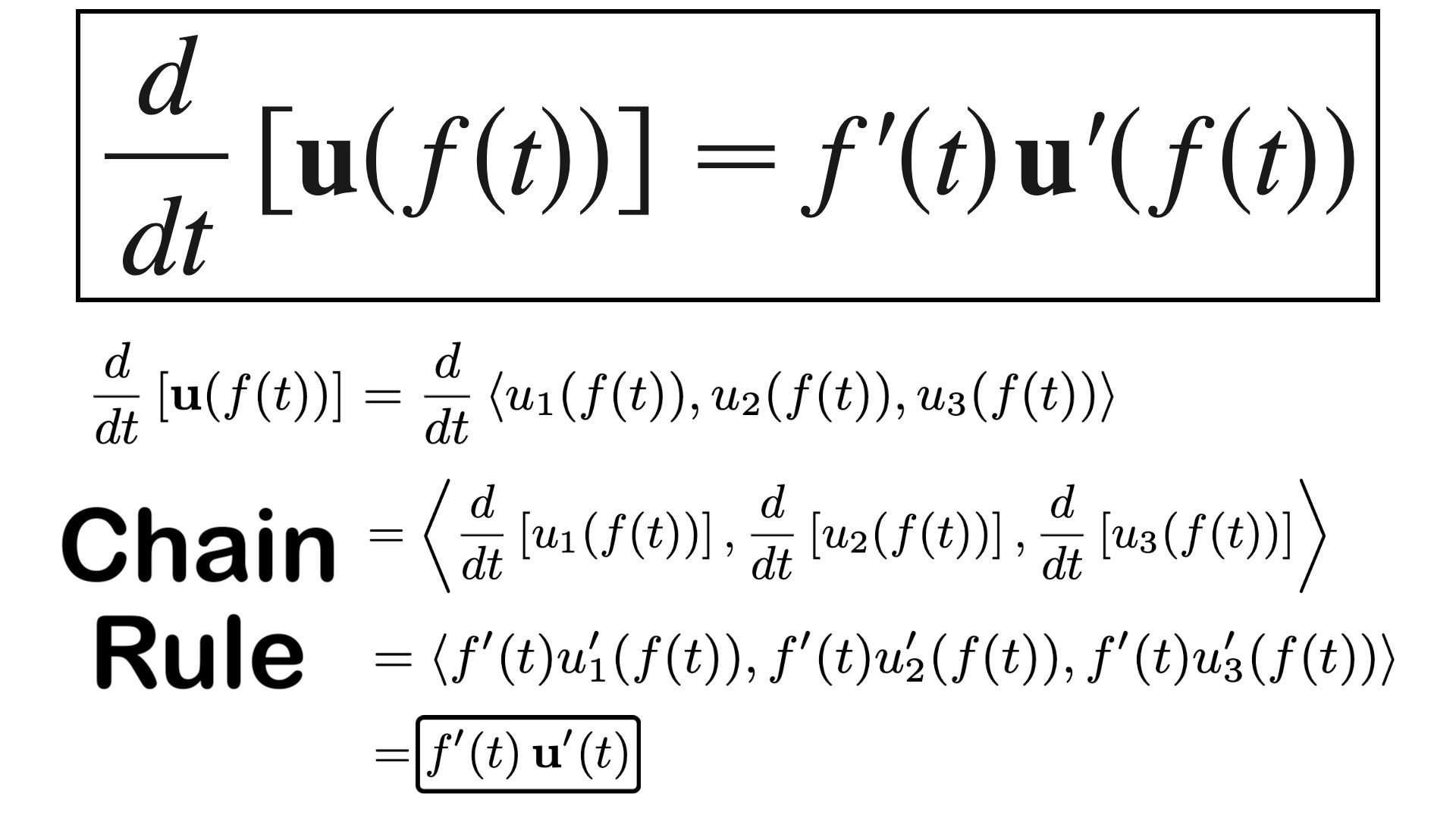
In this video I prove Formula 6 of the differentiation rules for vector functions and this time show that the derivative of a vector function whose parameter is a real valued function results in a counterpart of the chain rule. In other words, the derivative of the vector functions in terms of the parameter t becomes the derivative of the real-valued function in terms of the parameter t multiplied by the derivative vector function in terms of the parameter f(t).
math #vectors #calculus #chainrule #education

Timestamps
- Exercise 5: Proof of Formula 6: Derivative of a Function within a Vector Function: 0:00
- Solution: Taking derivative of components: 1:05
- Applying chain rule for each component: 2:54
- Factor out the real-valued function: 3:46
- We obtain our chain rule for vector functions: 4:21
Notes and playlists
- Summary: https://inleo.io/threads/view/mes/re-leothreads-2yynuofgg
- Notes: https://peakd.com/hive-128780/@mes/hfsetrue
- Sections playlist: https://www.youtube.com/playlist?list=PLai3U8-WIK0FgQ3jBd9IFaWOakOWbHous
- Vector Functions playlist: https://www.youtube.com/playlist?list=PLai3U8-WIK0FgQ3jBd9IFaWOakOWbHous .
Become a MES Super Fan! https://www.youtube.com/channel/UCUUBq1GPBvvGNz7dpgO14Ow/join
DONATE! ʕ •ᴥ•ʔ https://mes.fm/donate
SUBSCRIBE via EMAIL: https://mes.fm/subscribe
MES Links: https://mes.fm/links
MES Truth: https://mes.fm/truth Official Website: https://MES.fm Hive: https://peakd.com/@mes
Email me: contact@mes.fm
Free Calculators: https://mes.fm/calculators
BMI Calculator: https://bmicalculator.mes.fm Grade Calculator: https://gradecalculator.mes.fm Mortgage Calculator: https://mortgagecalculator.mes.fm Percentage Calculator: https://percentagecalculator.mes.fm
Free Online Tools: https://mes.fm/tools
iPhone and Android Apps: https://mes.fm/mobile-apps
▶️ 3Speak