@mes
HiveVSC is now Magi Network! 🧙♂️ // Rebrand Announcement
2025-11-06 07:59 After years of building at the…
Payout: 28.497 HBDConverting Between Different Number Systems
2025-11-04 23:40<center> [](https://3speak.tv/watch?v=mes/mxyppsmx) ▶️ [Watch on 3Speak](https…
Payout: 1.518 HBD50% of All New Online Content is AI Generated and Growing
2025-11-04 19:46<liketuimages> <center>  </center> </liketu…
Payout: 1.114 HBDThe Number 0 and 10 in General Number Systems
2025-11-03 23:20<center> [](https://3speak.tv/watch?v=mes/tpvefroy) ▶️ [Watch on 3Speak](https…
Payout: 2.353 HBDMES Livestream 115: John Hutchison Joins the Show Again!
2025-11-01 18:21Legendary experimental scientist and Honorary Doctorate Dr. John Hutchison joins the show once again to discuss all things technology, replicating the Hutchison Effect, and what we…
Payout: 1.578 HBDIt Is An Ideal Time For A YouTube Replacement
2025-10-31 21:21What made YouTube the undisputed king of video? That is a bold title I grant you. However, when we look at the numbers, YouTube is the dominant force. Not only is it the leader …
Payout: 6.917 HBDIntroduction to Vortex Math and Marko Rodin's Claims
2025-10-31 20:10<center> [](https://3speak.tv/watch?v=mes/sjkhplzt) ▶️ [Watch on 3Speak](https…
Payout: 1.333 HBDFreechain has been picked up by one of the biggest media networks in the World.
2025-10-30 09:19<center></center> **I am happy to s…
Payout: 0.000 HBDCoincidence 2: Friday the 13th 1946 or Friday the 14th 1946, Trump's Birthday?
2025-10-29 04:20<center> [](https://3speak.tv/watch?v=mes/dehlkyvm) ▶️ [Watch on 3Speak](https…
Payout: 0.000 HBDAbout Trump
2025-10-25 20:36This is a cross post of [@amaterasusolar/about-trump](/informationwar/@amaterasusolar/about-trump) by @mes.<br><br>Do Y'all Trust the Plan?!
Payout: 0.000 HBDExercise 5: Proof of Formula 6: Chain Rule for Vector Functions
2025-10-25 20:00<center> [](https://3speak.tv/watch?v=mes/aajqxifb) ▶️ [Watch on 3Speak](https…
Payout: 0.000 HBDMES Livestream 114: Halloween Emergency Broadcast
2025-10-25 18:27<liketuimages> <center>  </center> </liketuima…
Payout: 0.000 HBDMES Livestream 114: Halloween Emergency Broadcast
2025-10-25 03:58Join me as I cover a wide variety of news, fake news, and psychological operations currently underway during this spooky Halloween season. ### October 25, 2025 SATURDAY at 1 PM PS…
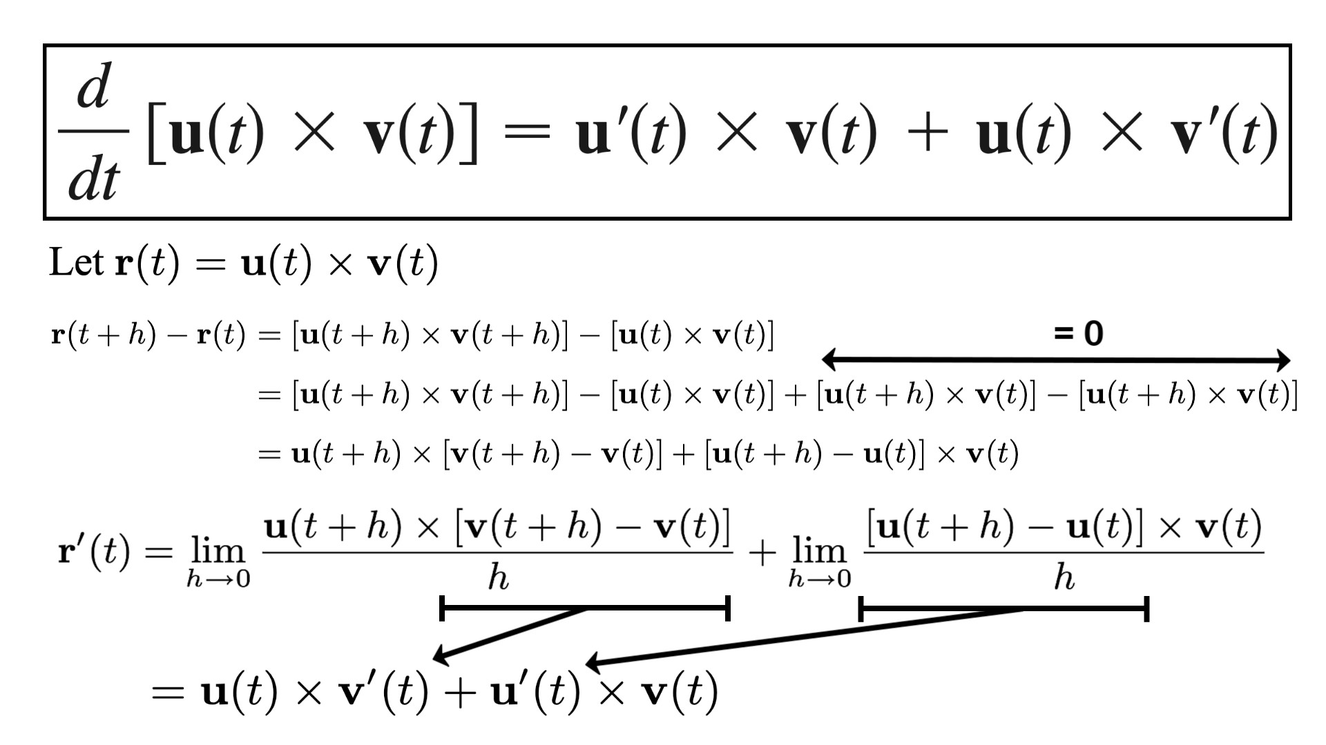
Payout: 0.000 HBDExercise 4: Proof of Formula 5: Derivative of Cross Product of Vector Functions via Definition
2025-10-24 04:45<center> [](https://3speak.tv/watch?v=mes/ujzgvnze) ▶️ [Watch on 3Speak](https…
Payout: 0.000 HBDThe Flywheel Effect: Model For Massive Growth
2025-10-23 14:00There is often conversation around the concept of flywheels and how powerful they can be. In fact, they are the models used for some of the largest growth in companies in history.…
Payout: 0.000 HBD3D Printed Models of the WTC and LiDAR Data
2025-10-23 19:00<center> [](https://3speak.tv/watch?v=mes/phutwmzi) ▶️ [Watch on 3Speak](https…
Payout: 0.000 HBD3D Printed Models of the WTC and LiDAR Data
2025-10-23 18:02<liketuimages> <center>  </center> </…
Payout: 0.000 HBDMES Livestream 113: BeneficenceTV Demonstrates Vortex Coil Experiments Live
2025-10-22 10:00<center> [](https://3speak.tv/watch?v=mes/oydoyejz) ▶️ [Watch on 3Speak](https…
Payout: 0.000 HBDWrapped HIVE is live on ETH, BSC and BASE!
2025-10-21 18:07<center>  </center> - - - Hello everyone! I …
Payout: 0.000 HBDIntroducing Tokenized Tesla (TTSLA) | TSLA Exposure for the Modern Era
2025-10-21 19:12https://img.leopedia.io/DQmejR34ceTTmDgM2cDqmWhKVjsyLehjNoznmFKHAN9Y7Lv/image.png The internet was huge. Mobile was even bigger. AI has become the revolution of revolutions. In…
Payout: 0.000 HBD